Canon EOS Resources
SLR Cameras - Additional information on Canon EOS-5 QD & EOS-A2/A2e - Part II

MIR Logo.gif

File size: 36K HTML Loading....

EOSA2A2ea.JPG 933k) Loading ..
Technical highlights:

1) High Shutter speed with rapid film advance/rewinding
2) Sharp clear images with dead on metering
3) Variable Exposure Control modes for daylight and flash Photography
4) A host of dedicated system accessories
5) Wide arrays of top performance EF lenses


Credit: The EOS A2E, US version of the Canon EOS-5. Image courtesy of www.UsedCameraBuyer.com. <shutterblade@comcast.net>
The Company specializes on buying used photographic equipments.
Image(s) copyright © 2003. All rights reserved.

A combination of an advance autofocusing system with high shutter speeds and an ultra quiet film transport mechanism Despite the camera has a built-in high-speed 5 fps motor drive, which ranks it among top performing AF SLRs in the market, but the camera combines its innovative eye-controlled autofocusing with an ultra-quiet film transport which makes automatic high speed film advance and rewinding such a breeze during operation. The camera also provides a top shutter speed of 1/8800 sec. and a flash synchronization up to 1/200 sec. with second-curtain synchronization, Red-Eye reduction and flash compensation capability from its built-in flash or using external speedlites while the lower end of the shutter speed is downed to 30 sec in auto-exposure mode.

Eye Controlled Focus

The centered of attention in relation to the camera features is, none other than the Eye Controlled Focusing capability. It is an highly innovative and unique Eye Select feature - with an intelligent focusing system. The system can easily be regarded as one of the most advanced SLR features available at the time of its introduction which lasts until today (as at November, 2003), where Canon still commands the proprietary technology only to a few selective EOS SLRs. The system works by looking at an array of five focusing indicator inside the camera's viewfinder.

EOS5ViewinfoLamp.jpg
Any of the five focusing points can be selected simply by looking at the corresponding AF frame - a CCD sensor inside the camera eyepiece determines which part of the finder the eye is looking at. After focusing is completed in the one-shot AF mode, you can check depth-of-field simply by looking at the Depth-of-Field Check Mark. The aperture will close down for up to 6 seconds. The Eye Select operation can be calibrated* to the specific requirements of each user and the values stored in the camera's memory. Up to five sets of calibration values can be stored for five different users. Two other methods of autofocusing are also available - automatic focusing point selection (with the camera choosing the most appropriate of the five points), and manual focusing points selection.
Credit: Image courtesy of Mr. Philip Chong®. Editor of Advance Images Image(s) copyright © 2003. All rights reserved.

* The system uses an infrared light-emitting diode (IRED) to illuminate the photographer's eye. The light reflected back from the cornea of the eye is captured by CCD sensors in the viewfinder. The camera then analyses the pattern of the reflection to determine where the eye is look and converts this information to a focusing point selection. However, as every individual's eye can be different. The operation can be calibrated to the specific requirements of each user and the values stored in the camera's memory, Up to five sets of calibration values can be stored and recalled to allow different users to handle the camera. The system works even for users wearing spectacles or contact lenses. It is also possible to select any one of the five focusing points manually by pressing the AF focusing point button and turning the electronic input dial. If you select the centre focusing point, the EOS 5 handles in a similar way to other EOS models. A third option is automatic focusing point selection. Here, the camera chooses a focusing point appropriate to the shooting conditions. After focusing is completed in the One-shot AF mode, you can check depth simply by looking at the Depth-of field Check Mark in the top left corner of the screen. The aperture will close down to the selected value for up to 6 seconds. This allows you to see the area in front of and behind the point-of-focus which will appear sharp in the final picture.

Other than the Eye-Contolled focusing, the AF system used in the EOS-5 is equally deserving a mentioned. With conventional AF systems, the focus is locked as the shutter release is pressed. This is fine for static subjects, but means that fast-moving subjects may have raced out-of-focus before the shutter opens and the film is exposed. Generally, eperienced photographers anticipate the possible movement by focusing a little in advance of the subject. The EOS-5's Predictive AF system can help to handle such kind of photography more positively, as it provides far greater accuracy and to greater effect tha many earlier AF system used in earlier bodies. This is by utilising Canon developed 5-point Multi-BASIS focusing sensor to help tracking moving subject and assesses its speed and direction. With this information, the camera predicts where the subject will be when the shutter opens and focuses the lens on this distance. Focus prediction operates in the AI Servo AF mode; the other focusing modes are One-shot AF; One-shot AF/Al Servo AF auto switching (in Full Auto mode only); and naturally, manual focus.

Shutter Speed Range and Whisper-quiet transport

The EOS 5 features a top shutter speed of 1/8800 sec - an ultra fast setting which will 'freeze' the movement of most subjects as well as provides additional depth of field control. For an example, when using high speed film in broad daylight. The camera has quite an extensive range of shutter speeds from highest speed to its slowest shutter speed scale (in Auto Mode), where the slowest speed setting is 30 seconds, long enough for most night scenes for for special effect photography. In the shutter-priority AE and manual shooting modes, the shutter speeds can be set in 0.5 step increments, giving a choice of 37 different settings. In other shooting modes, the speed selection is continuous - if the camera metering recommends 1/137 see, then 1/137 see is set. A built-in self-timer provides an electronically-controlled 10-second delay after the shutter button is pressed.\

EOSA2A2ec.JPG
Film transport is by an almost-silent belt drive mechanism first deployed in the EOS-100/Elan QD, but the EOS-5 uses two coreless motors design which replace conventional motors. The immediate benefits of this system is, it reduces vibration noise during film transport and eliminates the noisy film rewind gear chain.

Credit: The EOS A2E, US version of the Canon EOS-5. Image courtesy of www.UsedCameraBuyer.com. <shutterblade@comcast.net>
The Company specializes on buying used photographic equipments.
Image(s) copyright © 2003. All rights reserved.

The EOS 5 has two rewind modes -the '"Silent"mode takes longer to rewind a film, but is even quieter than the normal mode. In other cameras, sprockets engage with perforations along the edges of the film to determine the film advance distance. The EOS 5 uses a noiseless optical detection system similar to the earlier EOS-10SQD which measures the frame advance distance without coming into contact with the film. Two coreless motors replace conventional motors; rotation is smoother, with reduced vibration, resulting in minimal vibration noise from the drive system. Rubber and acrylic foam are used to produce 'floating' supports inside the camera, isolating vibrations which would otherwise reach the camera body. The result of all these features is a significant reduction in noise as the shutter fires and the film advances. The built-in film advance motor has three settings. In additional to single frame film advance, there is a continuous shooting mode - switchable between 'C' and 'C Hi', giving shooting speeds up to 5 frames a second. An optional Vertical Holding Grip accessory can be used to keep the camera steady when held vertically.

gripview.jpg
vg10sole.jpg

The optional Vertical Holding Grip VG-10 makes it easier to hold and control the EOS 5 in the vertical format. The grip screws to the tripod mount on The base of the camera. It has its own shutter release button, AE Lock button, main dial and focusing point selection button, all position for convenient operation with the camera held on its side. A secondary tripod bush means that the EOS 5 can still be used on a tripod with the Vertical Holding Grip fitted.

Further, the back of the Canon EOS 5 features a Quick Control dial. In the manual exposure mode, this dial sets the lens aperture (the shutter speed is set by the electronic input dial). In the automatic exposure modes, the dial can be used to set exposure compensation values; in the TTL-flash mode, the dial sets flash exposure compensation values. The Quick Control dial is positioned so that it can be operated by the thumb of the right hand when the camera is held to the eye; the compensation values selected are shown in the viewfinder display.

The USM lenses complement the noise-reduction techniques which make the EOS 5 one of the quietest cameras of its type. Canon has designed the EOS system with focusing motors inside each lens, rather than using a single motor in the camera body, Each focusing motor is designed to suit the characteristics of the lens, giving optimum performance and speed. A ring-shaped Ultrasonic Motor (USM) is used in most of the EF lenses.

Basically, the USM technology is one of the single most important feature contributed to the immensely successful EOS system as it leapfrogged Canon to the drive seat of the AF technological race back in the late '80. The ultrasonic motor is a direct-drive motor with no gearing units, so the operation is fast and reliable. Low rotational speed and high torque are used, eliminating the need for a braking unit. This means that the motors are compact, and can follow the shape of the lens barrel, so there is no significant increase in the size and weight of the lenses.

cutawaylens.jpg
During operations, focusing data is passed at high speed to and from the lens by a series of electrical contacts in the lens mount. In terms of accuracy and reliability, the electronic mount is unrivaled Essential information about the lens is sent to the camera's microprocessor as soon as the lens is mounted, allowing all the basic preparations to be completed before the shutter release is pressed. The latest USM lenses developed by Canon, together with improved focusing algorithms in the camera , combine to make EOS focusing extremely fast and accurate. USM motors are very quiet in operation. It is often impossible to hear the lens focus - the 'in-focus' signal in the viewfinder is the only indication that the operation is complete.

16-zone sensor for accurate exposures and Exposure Control

LCDgreenBG.gif

Exposure metering uses an improved 16-zone silicon photocell (SPC) sensor. Evaluative metering compares readings from the 16 zones with built-in predefined patterns to compensate for difficult lighting situations, such as backlighting. Spot, Centre-Weighted average and Automatic TTL-flash metering are also available. Exposure metering is performed using the newly developed 16-zone silicon photocell (SPC sensor. Four different metering modes are available. Evaluative metering takes readings from the 16 different zones of the viewfinder and compares the results with built-in predefined patterns.

modelmclauA.jpg (33k) Loading ...
The camera recognizes difficult lighting situations, such as backlighting and adjusts the exposure accordingly. Evaluative metering takes the active focusing point as its central zone, ensuring that the exposure is based on readings from the main subject. When the camera is held vertically, a position detector sensor switches to different metering algorithms to suit the changed format. Spot metering takes a reading from an area occupying about 3.5% of the viewfinder.

Credit: Image courtesy of Mr. MCLau®. MC is a seasoned photographer and has helped to maintain some of the Message Boards in PIM website. He has a website on his own. Image(s) copyright © 2003. All rights reserved.

The spot reading can be taken from the centre of the screen, or it can be linked to read an area centered on the active focusing point. Centre-Weighted average metering takes readings from the entire viewfinder area, but gives greater emphasis to subjects in the centre. Automatic TTL-Flash exposure control measures the light reflected from the film plane. This mode is linked to the focusing points to provide accurate flash exposures for a wide variety of conditions.

16zonesiluusC.jpg 16zonesiluusB.jpg 16zonesiluusA.jpg

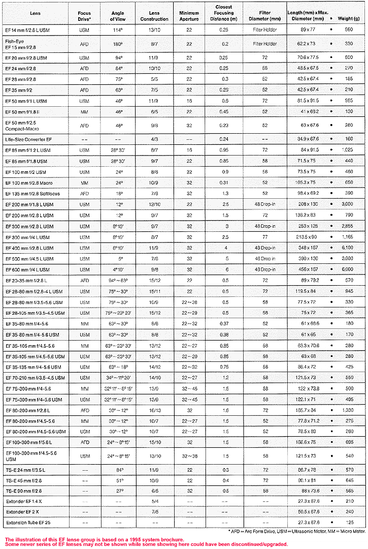
<<<--- Download a larger image file (236k) Jpeg image or a copy of the lense chart (99k) Gif. Please note: The illustration of this EF lense group is based on a 1995 system brochure. Some newer series of EF lenses may not be shown while some showing here could have been discontinued/upgraded.

| previous | NEXT | Various Exposure Control Modes and some system accessories

Canon Autofocus EF Lens Resources

Main Reference Map of Canon EOS-5
Technical Specification of Canon EOS-5

Note: Looking for a Link resource on the Web for Instruction Manual on EOS-5/A2E

Flash Photography:- Part 1 | 2 | 3 | 4 - Canon 540EZ site
Selective Canon TTL Flash Models:- 160E | 200E | 300EZ | 300TL | 420EZ | 430 EZ | 480EG | 540EZ | Macrolites | Other non-TTL Canon flash models
Others:
| Canon RS-60E3 Remote Switch | Canon RC-1 Remote Control | Canon RC-2 Remote Controller | Canon TC-80N3 Timer Remote Controller |

Additional information on other EOS AF-SLR Models:
EOS-650 (1987.2) | EOS-620 (1987.5) | EOS-750QD (1988.10) | EOS-850QD (1988.10) | EOS-630QD (1989.4) | EOS-1 (1989.9) | EOS-RT (1989.10) | EOS-700QD (1990.3) | EOS-10S QD (1990.3) | Canon T-60 | EOS-1000F /RebelS QD (1990.9) | EOS-100 / Elan QD (1991.9) | Canon EF-M (1991.9) | EOS-5/A2E QD (1992.10) | EOS-1000FN /Rebel S II QD (1992.4) | EOS-500 / Rebel XS / KISS (1993.10) | EOS-1n (1994.9) | EOS-888/5000QD (1995.1) | EOS-1n RS (1995.3) | EOS-50/50E / Elan II(E) /EOS 55 (1995.9) | EOS -500N / Rebel G / KISS II (1996.9) | EOS-IX (1996.10) / EOS-IX Lite /IX-7 (1996.3) | EOS-3 (1998.11) | EOS-88/3000 (1999.3) | EOS-300 / Rebel 2000 QD / KISS III (1999.4) | EOS-1v (2000.3) | EOS-30 / EOS-7 / EOS Elan 7E (2000.10) | EOS-3000N /EOS-66 / Rebel XS-N (2002.2) | EOS-300V / Rebel Ti / KISS V (2002.9) | EOS 3000V / Rebel K2 / KISS Lite (2003.9)

MIR Logo.gif
Home - Photography in Malaysia
Search.gif

stickershw.jpg
February, 2000

| BACK | to Index Page of EOS -5 QD / A2/A2E |
|
Back to main index page of EOS-1 Series |

| Message Board | Questions, issues & Answer(s)
| Message Board | for your Canon Optics in a shared environment
| Message Board | Specifically for Dispose or Looking for Canon Photographic equipment

About this photographic site.

Credit: To all the good people who has contributed their own experience, resources or those who are kind enough granting us permission to use their images appeared in this site.

Site concept & design: leofoo® MIR Web Development Team. Copyright 2002. Members of the EOS Site Maintenance Team : Philip Chong, CYLeow, Vincent Thian. images handling on EOS models: EeWyn; Setup, coordination by: Wati. Mirza. *Credit: Mr. Richard Yeow & Mr. Simon Wong from camera division of Canon Marketing, for their continual effort in supporting development of this EOS/EF website. Note:certain content and images appeared in this site were either scanned from official marketing leaflets, brochures, sales manuals or publications published by Canon Inc. over the years and/or contribution from surfers who claimed originality of their work for educational purposes. The creator of the site will not be responsible for may discrepancies arise from such dispute except rectifying them after verification."Canon", "EF lenses" & "EOS" are registered trade names of Canon Inc., Japan. Site made with an Apple IMac.